Sauter au contenu

Section 4 Une dernière pour la route: avec des probas

On peut aussi démontrer cette formule avec des probabilités.

Projet 4.1.

(a)

Soient \(X_1,X_2: \mathbb R \rightarrow \mathbb R^+\) deux variables aléatoires positives suivant la (demi-) loi de Cauchy 1 . Leur densité de probabilité est donc

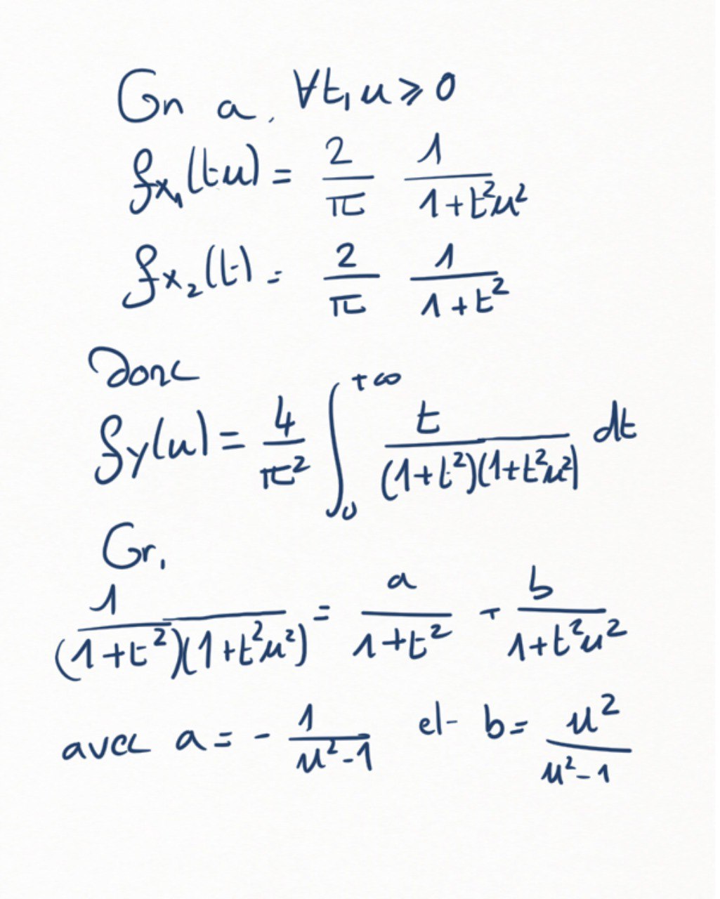
\begin{equation*} f_{X_1}(t)=f_{X_2}(t)= \begin{cases} \frac2{\pi}\frac1{1+t^2} \amp\text{ si } t>0\\ 0 \amp\text{ si } t \leq0 \end{cases} \end{equation*}

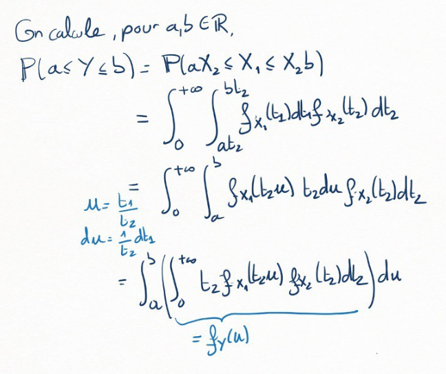
Posons \(Y=\frac{X_1}{X_2}\text{.}\) Montrer que la densité de \(Y\) est donnée par

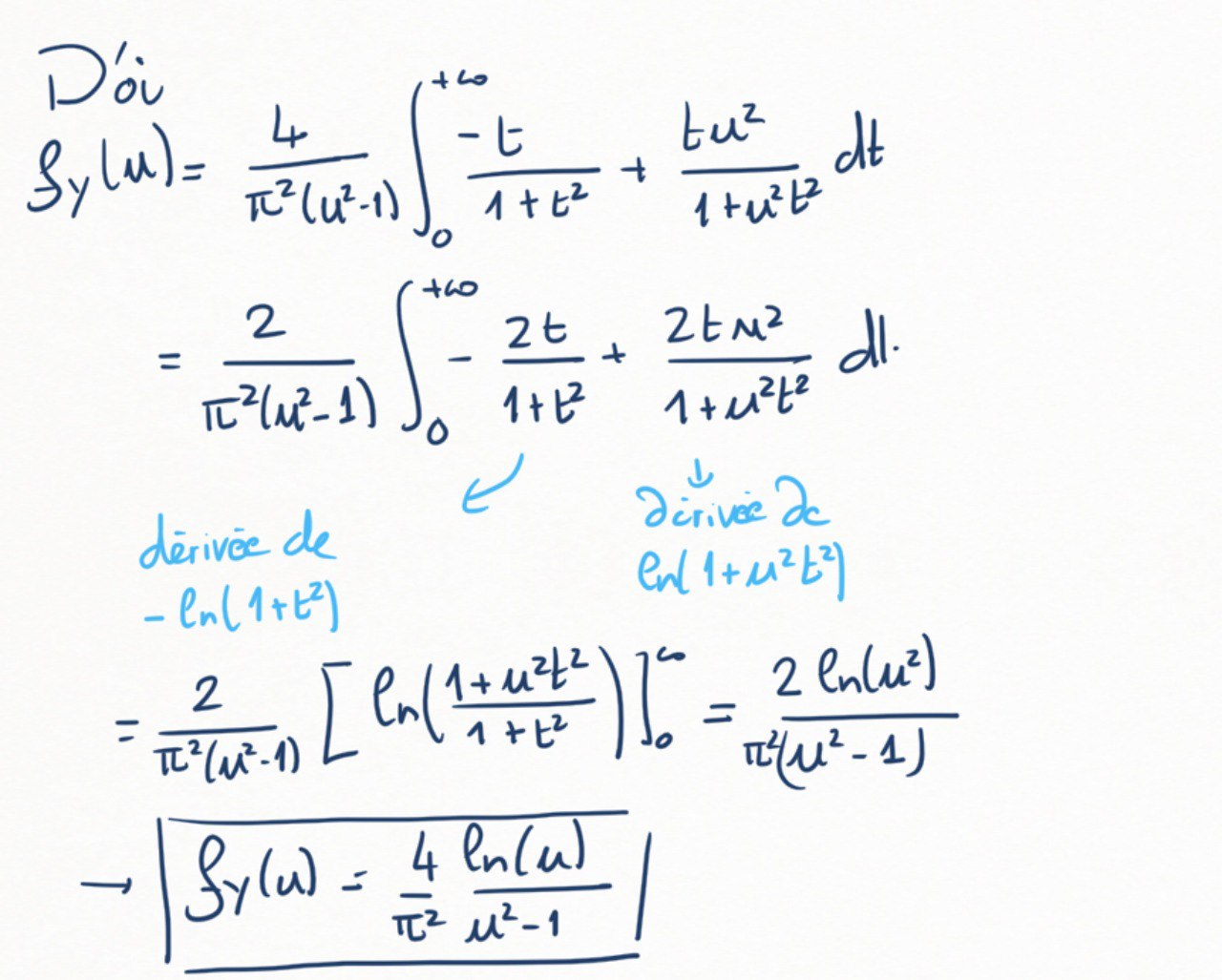
\begin{equation*} f_Y(u)=\int_0^\infty tp_{X_1}(tu)p_{X_2}(t)dt \end{equation*}

(b)

En déduire que

\begin{equation*} f_Y(u)=\frac{4}{\pi^2}\frac{\ln(u)}{u^2-1} \end{equation*}
Indication.

Trouver deux réels \(a\) et \(b\) tels que

\begin{equation*} \frac1{1+t^2u^2}\frac1{1+t^2} = \frac{a}{1+t^2u^2}+\frac{b}{1+t^2} \end{equation*}
Spoiler.

(c)

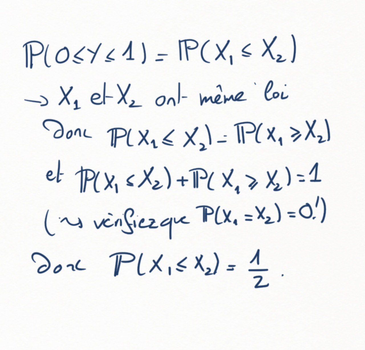
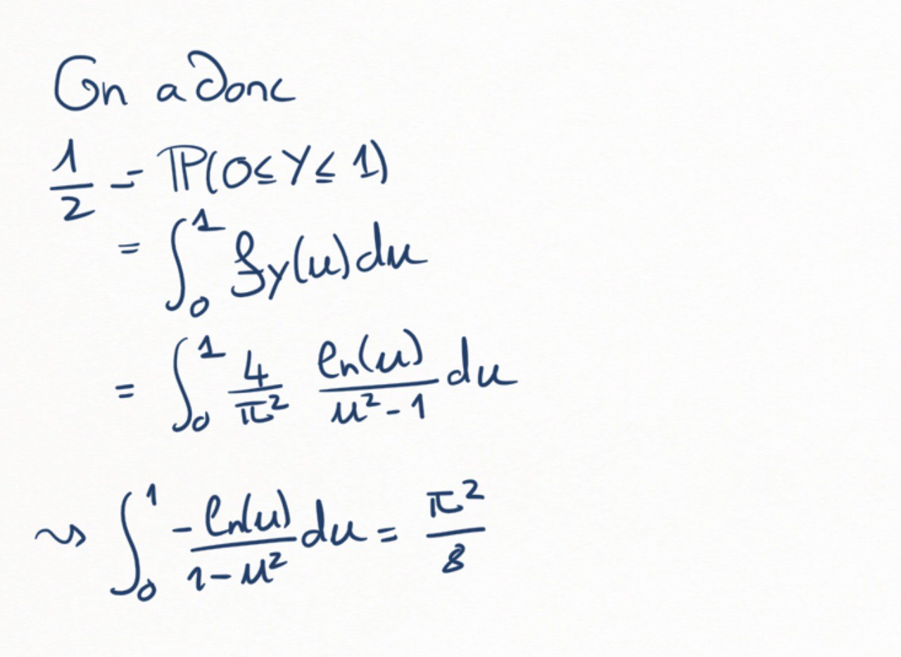
Justifier que \(\mathbb P(0\leq Y\leq 1) = \frac12\text{.}\) En déduire que

\begin{equation*} \int_0^1 -\frac{\ln(u)}{1-u^2} du = \frac{\pi^2}8 \end{equation*}

(d)

De là, montrer que

\begin{equation*} \sum_{n=0}^\infty \frac1{(2n+1)^2} =\frac{\pi^2}8 \end{equation*}
Indication.

Pour \(u\in ]0,1[\text{,}\) on a

\begin{equation*} \frac1{1-u^2}= \sum_{k=0}^\infty u^{2k} \end{equation*}
Spoiler.

(e)

En déduire que

\begin{equation*} \sum_{n=1}^\infty \frac1{n^2} = \frac{\pi^2}6 \end{equation*}
Indication.

En séparant les entiers pairs et impairs, montrer que, en notant \(S=\sum_{n=1}^\infty \frac1{n^2}\text{,}\)

\begin{equation*} S=\frac14 S + \sum_{n=0}^\infty \frac1{(2n+1)^2} \end{equation*}
Spoiler.

Puisque la série \(\sum \frac1{n^2}\) converge, on peut écrire:

\begin{equation*} S=\sum_{n=1}^\infty \frac1{n^2} = \sum_{k=1}^\infty \frac 1{(2k)^2} + \sum_{k=0}^\infty \frac 1{(2k+1)^2} \end{equation*}

Or, pour tout \(k\geq 1\text{,}\) \(\frac 1{(2k)^2} = \frac14 \frac{1}{k^2}\) donc

\begin{equation*} \sum_{k=1}^\infty \frac 1{(2k)^2} = \frac14\sum_{k=1}^\infty \frac 1{k^2} = \frac14 S \end{equation*}

donc

\begin{align*} \frac 34 S \amp = \sum_{k=0}^\infty \frac1{(2k+1)^2}\\ S \amp= \frac34 \sum_{k=0}^\infty \frac1{(2k+1)^2} \\ \amp = \frac43 \frac{\pi^2}{8}=\frac{\pi^2}{6} \end{align*}
distribution-explorer.github.io/continuous/halfcauchy.html